如何快速导出论文参考文献格式?
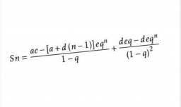
数列求和的基本方法
放假回家不想写作业怎么办
网络工程师考试需要学什么?
怎么样用联想记忆法快速背诵古诗?
质量管理主要包括哪些内容?
UI设计需要学习什么软件
如何用word快速制作打印会议坐席牌、桌牌?
数控机床操作培训都有哪些课程?
如何恢复突然停电丢失的Excel表格
孩子犯错了到底是打还是不打如何正确对待
如何将扫描件合并到一个pdf文件
如何用计算器开方
如何申请香港大学研究生
AutoCAD2013一直线与两圆相切
王熙凤结局是什么样的
诸葛恪得驴的故事讲的内容是什么
百发百中什么意思
从军行七首其二原文及翻译
的地得怎么用?
怎样才能把学习成绩提高?
用EXCEL怎么判断一个数的奇偶
如何将自己电脑安装的软件进行搬家
如何练好字(是不是经常临摹字帖却不大管用?)