最佳回答
本文由作者推荐
详细内容
- 01
极限
- 02
等价无穷小的替换
当x趋近于0时,等价无穷小可以互相变换,乘除法可以变换,加减法一般不可以变换。
- 03
求导公式
有一些导数总喜欢成双成对的出现,例如,三角函数,反三角函数。
- 04
常用的初等函数的n 阶导数公式
- 05
基本积分表
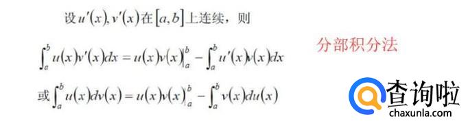
- 06
定积分的换元积分法与分部积分法
- 07
定积分的特殊性质

特别提示
总结还会持续更新,希望可以帮助到大家。
广告位
点击排行
- 2 排行
- 3 排行
- 4 排行
- 5 排行
- 6 排行
- 7 排行
- 8 排行
- 9 排行
- 10 排行
热点追踪
广告位

