最佳回答
本文由作者推荐
详细内容
- 01
奇函数
奇函数乘偶函数是奇函数。此外,偶函数乘偶函数是偶函数,奇函数乘奇函数是偶函数。函数的奇偶性也就是指关于原点的对称点的函数值相等,这是属于函数的基本性质,也就是它们的图象有某种对称性的一元函数。

奇函数乘偶函数是奇函数,奇函数加减奇函数是奇函数,偶函数加减偶函数是偶函数,奇函数乘奇函数是偶函数,偶函数乘偶函数是偶函数。判定函数奇偶性,首先要看定义域,如果定义域关于原点对称,再讨论奇偶性,否则直接判定是非奇非偶函数。其次,奇函数满足f(x)=-f(-x),偶函数满足f(x)=f(-x)。

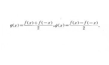
函数的奇偶性(odevity of a function),对任意xEl,若f(-x)=f(x),即在关于y轴的对称点的函数值相等,则f(x)称为偶函数;若f(-x)= - f(x),即对称点的函数值正负相反,则f(x)称为奇函数.在平面直角坐标系中,偶函数的图象对称于y轴,奇函数的图象对称于原点.可导的奇(偶)函数的导函数的奇偶性与原来函数相反.定义在对称区间(或点集)上的任何函数f(x)都可以表示成奇函数φ( x)和偶函数ψ(x)之和。

奇函数和偶函数的性质如下:
奇函数性质
1、图象关于原点对称
2、满足f(-x) = - f(x)
3、关于原点对称的区间上单调性一致
4、如果奇函数在x=0上有定义,那么有f(0)=0
5、定义域关于原点对称(奇偶函数共有的)

偶函数性质
1、图象关于y轴对称
2、满足f(-x) = f(x)
3、关于原点对称的区间上单调性相反
4、如果一个函数既是奇函数有是偶函数,那么有f(x)=0
5、定义域关于原点对称(奇偶函数共有的)
广告位
点击排行
- 2 排行
- 3 排行
- 4 排行
- 5 排行
- 6 排行
- 7 排行
- 8 排行
- 9 排行
- 10 排行
热点追踪
广告位


