简要回答
“放缩法”它可以和很多知识内容结合,对应变能力有较高的要求。因为放缩必须有目标,而且要恰到好处,目标往往要从证明的结论考察,放缩时要注意适度,否则就不能同向传递。下面结合一些高考试题,例谈“放缩”的基本策略,期望对读者能有所帮助。
详细内容
- 01
1、添加或舍弃一些正项(或负项)
若多项式中加上一些正的值,多项式的值变大,多项式中加上一些负的值,多项式的值变小。由于证明不等式的需要,有时需要舍去或添加一些项,使不等式一边放大或缩小,利用不等式的传递性,达到证明的目的。
- 02
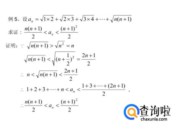
2、先放缩再求和(或先求和再放缩)
此题不等式左边不易求和,此时根据不等式右边特征, 先将分子变为常数,再对分母进行放缩,从而对左边可以进行求和. 若分子, 分母如果同时存在变量时, 要设法使其中之一变为常量,分式的放缩对于分子分母均取正值的分式。如需放大,则只要把分子放大或分母缩小即可;如需缩小,则只要把分子缩小或分母放大即可。
- 03
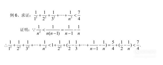
3、先放缩,后裂项(或先裂项再放缩)
本题先采用减小分母的两次放缩,再裂项,最后又放缩,有的放矢,直达目标.
- 04
4、放大或缩小“因式”
- 05
5、逐项放大或缩小
- 06
6、固定一部分项,放缩另外的项
此题采用了从第三项开始拆项放缩的技巧,放缩拆项时,不一定从第一项开始,须根据具体题型分别对待,即不能放的太宽,也不能缩的太窄,真正做到恰倒好处。
- 07
7、利用基本不等式放缩
- 08
8、先适当组合, 排序, 再逐项比较或放缩
- 09
以上介绍了用“放缩法”证明不等式的几种常用策略,解题的关键在于根据问题的特征选择恰当的方法,有时还需要几种方法融为一体。在证明过程中,适当地进行放缩,可以化繁为简、化难为易,达到事半功倍的效果。但放缩的范围较难把握,常常出现放缩后得不出结论或得到相反的现象。
- 010
因此,使用放缩法时,如何确定放缩目标尤为重要。要想正确确定放缩目标,就必须根据欲证结论,抓住题目的特点。掌握放缩技巧,真正做到弄懂弄通,并且还要根据不同题目的类型,采用恰到好处的放缩方法,才能把题解活,从而培养和提高自己的思维和逻辑推理能力,分析问题和解决问题的能力。希望大家能够进一步的了解放缩法的作用,掌握基本的放缩方法和放缩调整手段.
点击排行
- 2 排行
- 3 排行
- 4 排行
- 5 排行
- 6 排行
- 7 排行
- 8 排行
- 9 排行
- 10 排行

