最佳回答
本文由作者推荐
详细内容
- 01
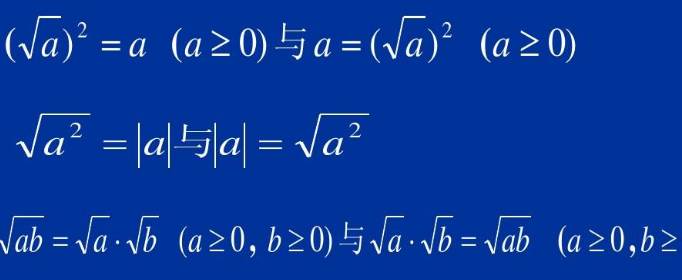
可以为0。偶次根式不出现在分母的位置时,被开方数是≥0的;出现分母位置,被开方数是>0的。奇次根式的被开方数可正、可负、可为0。

通常说的根号都是指二次根号,即√,它表示对根号下的数开平方。根号下的数叫做“被开方数”。所以根号下的数需要满足的条件:是某个数的平方,也就是需要大于等于0,即非负数。

根号是一个数学符号。根号是用来表示对一个数或一个代数式进行开方运算的符号。若aⁿ=b,那么a是b开n次方的n次方根或a是b的1/n次方。开n次方手写体和印刷体用表示,被开方的数或代数式写在符号左方√ ̄的右边和符号上方一横部分的下方共同包围的区域中,而且不能出界。

在实数范围内,偶次根号下不能为负数,其运算结果也不为负。奇次根号下可以为负数。不限于实数,即考虑虚数时,偶次根号下可以为负数,利用【i=√-1】即可。
广告位
点击排行
- 2 排行
- 3 排行
- 4 排行
- 5 排行
- 6 排行
- 7 排行
- 8 排行
- 9 排行
- 10 排行
热点追踪
广告位


