简要回答
详细内容
- 01
首先,有正弦余弦的和差公式的函数需要记住。
记忆方法:
观察这两个公式,分别叫正弦和余弦,正弦可以联想到正义,那么余弦就可以联想到小人了。君子可以不同的在一起合作(正弦的公式里面包含sin和cos)而且表里如一(正负号);小人一般是跟自己一样的人在一起(cos在一起,sin在一起),而且喜欢把自己人放在前面(cos在前),表里不如一(正负号)。
- 02
以上,你就记住了

- 03
接下来记

- 04
平方关系也得牢记。

- 05
式子的右边同时除以:sinAcosB
将式子的右边同时化为正切的形式,得到:
- 06
三角形的和差公式:

- 07
对已经得到的三个公式取正号:

- 08
命: A=B
得到3个二倍角公式:
- 09
根据

- 010
可以对 cos2进行拓展,得到:

- 011
以上二倍角公式:

- 012
同时:

- 013
同时除以

- 014
可以得到

- 015
同时除以

- 016
总结3个平方公式:

- 017
由二倍角公式

- 018
令 A=2B,得到:

- 019
也就是半角公式:

- 020
其中正负看A的范围。
- 021
根据三角形的正弦和差公式求积化和差公式:

- 022
正负号两式相加:
2sinCcosD=sin(C+D)+sin(C-D)
两式相减:
2cosCsinD=sin(C+D)-sin(C-D)
(实际和上面是统一个公式)
根据三角形的余弦和差公式
- 023
正负号两式相加:
2sinCcosD=sin(C+D)+sin(C-D)
两式相减:
2sinCsinD=cos(C-D)-cos(C+D)
和差化积公式:
2sinCcosD=sin(C+D)+sin(C-D)
2cosCcosd=cos(C+D)+cos(C-D)
2sinCsinD=cos(C-D)-cos(C+D)
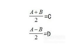
令: C+D=A;C-D=B
得到
- 024
可得到积化和差公式:

- 025
万能公式:
由二倍角公式
- 026
令: 2B=A
得到
- 027
对第一和第二个公式分别除以1,也就是

- 028
得到

- 029
两式右面分贝除以

- 030
得到

- 031
将

- 032
带入三角形的和差公式可得到各类诱导公式,当然你也可以用“奇变偶不变,符号看象限”来记忆。
点击排行
- 2 排行
- 3 排行
- 4 排行
- 5 排行
- 6 排行
- 7 排行
- 8 排行
- 9 排行
- 10 排行

