最佳回答
本文由作者推荐
详细内容
- 01
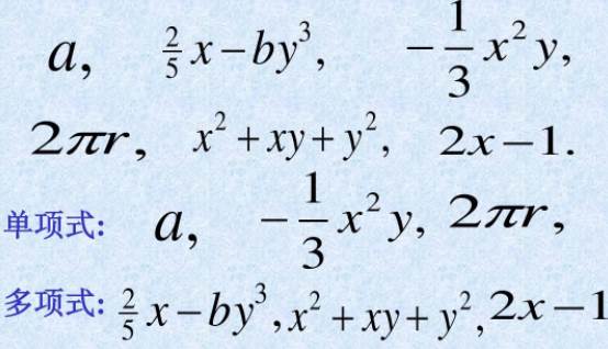
单项式和多项式的的定义不同、几何特性不同。由数或字母的积组成的代数式叫做单项式,由若干个单项式的和组成的代数式叫做多项式,多项式是由若干个单项式相加组成的代数式。多项式中每个单项式叫做多项式的项,这些单项式中的最高次数,就是这个多项式的次数。

单项式和多项式的区别:
1、定义区别
由数或字母的积组成的代数式叫做单项式,单独的一个数或一个字母也叫做单项式,分数和字母的积的形式也是单项式。单项式中的数字因数叫做这个单项式的系数,一个单项式中,所有字母的指数的和叫做这个单项式的次数。

由若干个单项式的和组成的代数式叫做多项式(减法中有:减一个数等于加上它的相反数)。多项式中每个单项式叫做多项式的项,这些单项式中的最高次数,就是这个多项式的次数。

2、几何特性区别
多项式是简单的连续函数,它是平滑的,它的微分也必定是多项式。单项式加减即合并同类项,也就是合并前各同类项系数的和,字母不变。分母含有未知数的式子不属于单项式。因为单项式属于整式,而分母含有未知数的式子是分式。
广告位
点击排行
- 2 排行
- 3 排行
- 4 排行
- 5 排行
- 6 排行
- 7 排行
- 8 排行
- 9 排行
- 10 排行
热点追踪
广告位


