最佳回答
本文由作者推荐
简要回答
线性代数的学习中,掌握方法很重要。下面就为大家慢慢解析,如何求特征值和特征向量。
详细内容
- 01
首先我们需要了解特征值和特征向量的定义,如下图;
- 02
齐次性线性方程组和非其齐次线性方程组的区别,如下图;
- 03
特征子空间的定义,如下图;
- 04
特征多项式的定义,如下图;
- 05
特征值的基本性质,如下图;
- 06
齐次线性方程组的特征就是等式右边为0,以消元法简化;
- 07
在初等数学方程组中都是有唯一解的,而在线性代数中,我们把这种情况称为方程组“系数矩阵的秩为1”,记为r(A)=1,当矩阵的秩小于未知数的个数时,方程组有无数个解;当矩阵的秩等于未知数的个数时,方程组只有零解。
由于上诉方程组有两个未知数,而r(A)=1<2,所以此组有无数个解。设 y=2 ,则 x=1;再设k为任意常数,则 x=k, y=2k为方程组的解,写成矩阵的形式为:
- 08
非齐次线性方程组因为不等于0,看起来很复杂,其实方法还是先用消元法简化步骤;
- 09
这一次进行初等行变换后,对于任意的非齐次线性方程组,当 r(A)=r(A|b)=未知数的个数时,非齐次线性方程组有唯一解;当 r(A)=r(A|b)<未知数的个数时,非齐次线性方程组有无数个解;当 r(A) ≠r(A|b) 时,非齐次线性方程组无解。
可见 r(A)=r(A|b)=3,所以[A|b]有唯一解,写回方程组形式:
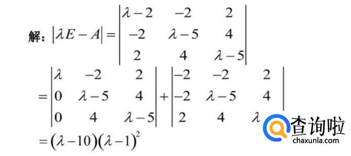
- 010
求下列矩阵的特征值和特征向量;
- 011
求矩阵特征值和特征向量的一般解法;
- 012
试证明A的特征值唯有1和2;
- 013
证明性问题还是需要解出特征值。
- 014
对于特征值与特征向量,总结起来大概分为三种理解:

广告位
点击排行
- 2 排行
- 3 排行
- 4 排行
- 5 排行
- 6 排行
- 7 排行
- 8 排行
- 9 排行
- 10 排行
热点追踪
广告位

