最佳回答
本文由作者推荐
简要回答
朗肯循环是电气专业和自动化专业(尤其是热控专业)必备的一个知识点,下面小编介绍如何计算朗肯循环的热效率,希望此篇指南可以解决您的问题
详细内容
- 01
以1kg工质为例,在朗肯循环的过程中,与外界交换的功量或热量分为:
锅炉吸热量,汽轮机对外做功量,凝汽器放热量,给水泵消耗功量
- 02
对比下图中的朗肯循环h-s图,在锅炉中的吸热量用公式表示为:q1=h1—h4
- 03
对比下图中的朗肯循环h-s图,在汽轮机中的对外做功量用公式表示为:W1=h1—h2
- 04
对比下图中的朗肯循环h-s图,在凝汽器中的放热量用公式表示为:q2=h2—h3
- 05
对比下图中的朗肯循环h-s图,在给水泵中消耗的功量用公式表示为:
w2=h4—h3
- 06
那么,1kg工质的循环净做功计算为:
w0=w1—w2=(h1—h2)—(h4—h3)
- 07
根据循环效率的计算公式 w0=q0=q1-q2 得到朗肯循环的热效率计算公式为:
ηt=W0/Q1=w0/q1=q1-q2/q1,如下图所示
- 08
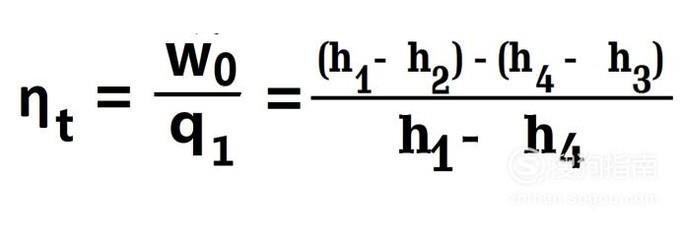
将1kg工质的循环净做功公式 w0=w1—w2=(h1—h2)—(h4—h3),带入朗肯循环的热效率计算公式 ηt=W0/Q1=w0/q1=q1-q2/q1 中得到:
ηt=W0/Q1=(h1—h2)—(h4—h3)/h1—h4
然后将字母替换为数字常量,带入公式就可以计算出朗肯循环的热效率了
- 09
另外,如下图所示,从实际来看,给水泵消耗的功w2远小于汽轮机所做的功w1,所以在计算中可以忽略朗肯循环h-s图中的3和4点;
因此朗肯循环的效率也可以用图3所示进行计算,将数字常量带入公式即可求出朗肯循环的热效率

特别提示
若有不足的话,还望指教
谢谢各位支持
广告位
点击排行
- 2 排行
- 3 排行
- 4 排行
- 5 排行
- 6 排行
- 7 排行
- 8 排行
- 9 排行
- 10 排行
热点追踪
广告位

