最佳回答
本文由作者推荐
简要回答
我们知道,二阶常系数非齐次线性微分方程的形式为:ay′′+by′+cy=f(x),它的解法有很多,我们今天就来归纳一下吧。

详细内容
- 01
如图所示,下面是非齐次方程解法的基本解法,和对非齐次方程解法的具体描述,来让大家更好的了解非齐次方程。
- 02
除此之外,非齐次方程还有特解的解法,主要有待定系数法、常数变异法和微分算子法。下面我们主要讲解一下这三个特解法吧。
- 03
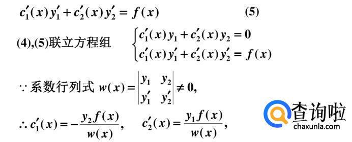
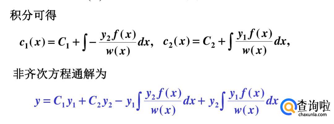
常数变易法是求解n阶非齐次线性微分方程的一种有效方法。通过在n阶非齐次线性微分方程更为一般的形式下探究相应的常数变易法,从而推导出相应的常数变易公式. 。下面是常数变异法。
- 04
我们通过例题,具体让大家了解一下吧。
- 05
待定系数法,一种求未知数的方法。将一个多项式表示成另一种含有待定系数的新的形式,这样就得到一个恒等式。在如图题型中常见的解法就是非齐次方程待定系数法了。
- 06
根据特征根的不同,将其情况分三种来讨论。
- 07
下面我们通过例题,具体让大家了解一下吧。
- 08
微分算子是定义为微分运算之函数的算子。首先在记号上,将微分考虑为一个抽象运算是有帮助的,它接受一个函数得到另一个函数。下面我们简单看看微分算子法吧。

特别提示
公式虽然多,但做起来真的简单哟。
广告位
点击排行
- 2 排行
- 3 排行
- 4 排行
- 5 排行
- 6 排行
- 7 排行
- 8 排行
- 9 排行
- 10 排行
热点追踪
广告位



