如何求解正交矩阵(以例子详细解答)其一
0次浏览 | 2022-10-25 17:44:02 更新
来源 :互联网
最佳回答
本文由作者推荐
详细内容
- 01
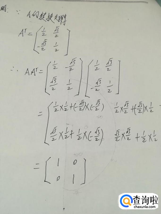
求解正交矩阵,就是求其与其转换矩阵的乘积为单位矩阵。例题如下:

- 02
先写出来所给矩阵的转换矩阵AT。

- 03
然后计算AAT,看其乘积是否为单位矩阵,从而判断其是否为正交矩阵。

- 04
最后做出判断。

特别提示
希望我的意见对大家有所帮助,谢谢。
广告位
点击排行
- 2 排行
- 3 排行
- 4 排行
- 5 排行
- 6 排行
- 7 排行
- 8 排行
- 9 排行
- 10 排行
热点追踪
广告位

