详细内容
- 01
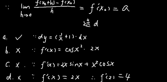
两个重要极限公式:第一个重要极限公式是:lim((sinx)/x)=1(x->0),第二个重要极限公式是:lim(1+(1/x))^x=e(x→∞)。极限是微积分中的基础概念,它指的是变量在一定的变化过程中,从总的来说逐渐稳定的这样一种变化趋势以及所趋向的值(极限值)。极限的概念最终由柯西和魏尔斯特拉斯等人严格阐述。

对于被考察的未知量,先设法正确地构思一个与它的变化有关的另外一个变量,确认此变量通过无限变化过程的’影响‘趋势性结果就是非常精密的约等于所求的未知量;用极限原理就可以计算得到被考察的未知量的结果。第一个重要极限公式是:lim((sinx)/x)=1(x->0),第二个重要极限公式是:lim(1+(1/x))^x=e(x→∞)。

极限的思想是近代数学的一种重要思想,数学分析就是以极限概念为基础、极限理论(包括级数)为主要工具来研究函数的一门学科。
所谓极限的思想,是指用极限概念分析问题和解决问题的一种数学思想。用极限思想解决问题的一般步骤可概括为:对于被考察的未知量,先设法构思一个与它有关的变量,确认这变量通过无限过程的结果就是所求的未知量;最后用极限计算来得到这结果。
极限思想是微积分的基本思想,数学分析中的一系列重要概念,如函数的连续性、导数以及定积分等等都是借助于极限来定义的。如果要问:“数学分析是一门什么学科?”那么可以概括地说:“数学分析就是用极限思想来研究函数的一门学科”。

与一切科学的思想方法一样,极限思想也是社会实践的产物。极限的思想可以追溯到古代,刘徽的割圆术就是建立在直观基础上的一种原始的极限思想的应用;古希腊人的穷竭法也蕴含了极限思想,但由于希腊人“对无限的恐惧”,他们避免明显地“取极限”,而是借助于间接证法——归谬法来完成了有关的证明。
到了16世纪,荷兰数学家斯泰文在考察三角形重心的过程中改进了古希腊人的穷竭法,他借助几何直观,大胆地运用极限思想思考问题,放弃了归缪法的证明。如此,他就在无意中“指出了把极限方法发展成为一个实用概念的方向”。
点击排行
- 2 排行
- 3 排行
- 4 排行
- 5 排行
- 6 排行
- 7 排行
- 8 排行
- 9 排行
- 10 排行


