简要回答
三角函数公式是初高中必须掌握的,本文主要介绍所有的三角函数公式。
详细内容
- 01
直角三角函数的定义:
正弦(sin)等于对边比斜边;sinA=a/c ;
余弦(cos)等于邻边比斜边;cosA=b/c ;
正切(tan)等于对边比邻边;tanA=a/b ;
余切(cot)等于邻边比对边;cotA=b/a;
- 02
对角相乘乘积为1,即sinθ·cscθ=1; cosθ·secθ=1; tanθ·cotθ=1。
- 03
商的关系:sinα/cosα=tanα=secα/cscα ;cosα/sinα=cotα=cscα/secα ;
- 04
两角和差公式:
tan(α+β)=(tanα+tanβ)/(1-tanαtanβ);
tan(α-β)=(tanα-tanβ)/(1+tanαtanβ);
cos(α+β)=cosαcosβ-sinαsinβ;
cos(α-β)=cosαcosβ+sinαsinβ;
sin(α+β)=sinαcosβ+cosαsinβ;
sin(α-β)=sinαcosβ -cosαsinβ
- 05
降幂公式
sin²α=[1-cos(2α)]/2;
cos²α=[1+cos(2α)]/2;
tan²α=[1-cos(2α)]/[1+cos(2α)];
- 06
二倍角公式:
正弦:sin2α=2sinα·cosα ;
余弦:Cos2α=Cos^2(α)-Sin^2(α) ;
Cos2α=1-2Sin^2(α) ;
Cos2α=2Cos^2(α)-1 ;
即Cos2α=Cos^2(α)-Sin^2(α)=2Cos^2(α)-1=1-2Sin^2(α);正切tan2α=(2tanα)/(1-tan^2(α));
- 07
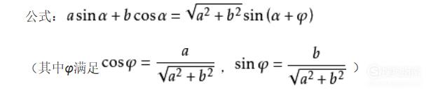
辅助角公式:
asinx+bcosx=√(a²+b²)sin(x+φ)
tanφ=b/a,φ的象限由a和b决定;
- 08
半角公式:
- 09
常用特殊角:
- 010
万能公式:sinα=2tan(α/2)/[1+tan^2(α/2)] ;
cosα=[1-tan^2(α/2)]/[1+tan^2(α/2)] ;
tanα=2tan(α/2)/[1-tan^2(α/2)];
- 011
半角公式
tan(α/2)=(1-cosα)/sinα=sinα/(1+cosα);
cot(α/2)=sinα/(1-cosα)=(1+cosα)/sinα;
sin^2(α/2)=(1-cos(α))/2;
cos^2(α/2)=(1+cos(α))/2;
tan(α/2)=(1-cos(α))/sin(α)=sin(α)/(1+cos(α)) ;
- 012
和差化积:
sinθ+sinφ = 2 sin[(θ+φ)/2] cos[(θ-φ)/2];
sinθ-sinφ = 2 cos[(θ+φ)/2] sin[(θ-φ)/2];
cosθ+cosφ = 2 cos[(θ+φ)/2] cos[(θ-φ)/2];
cosθ-cosφ = -2 sin[(θ+φ)/2] sin[(θ-φ)/2];
tanθ+tanφ=sin(θ+φ)/cosθcosφ=tan(θ+φ)(1-tanθtanφ);
tanθ-tanφ=sin(θ-φ)/cosθcosφ=tan(θ-φ)(1+tanθtanφ)
- 013
积化和差公式:
sinαsinβ =-[cos(α+β)-cos(α-β)] /2;
cosαcosβ = [cos(α+β)+cos(α-β)]/2;
sinαcosβ = [sin(α+β)+sin(α-β)]/2;
cosαsinβ = [sin(α+β)-sin(α-β)]/2;
- 014
三角和:
sin(α+β+γ)=sinα·cosβ·cosγ+cosα·sinβ·cosγ+cosα·cosβ·sinγ-sinα·sinβ·sinγ
cos(α+β+γ)=cosα·cosβ·cosγ-cosα·sinβ·sinγ-sinα·cosβ·sinγ-sinα·sinβ·cosγ
tan(α+β+γ)=(tanα+tanβ+tanγ-tanα·tanβ·tanγ)÷(1-tanα·tanβ-tanβ·tanγ-tanγ·tanα)
特别提示
此教程仅供参考,如有疵漏请谅解!
点击排行
- 2 排行
- 3 排行
- 4 排行
- 5 排行
- 6 排行
- 7 排行
- 8 排行
- 9 排行
- 10 排行

