最佳回答
本文由作者推荐
简要回答
二进制十进制间小数怎么转换?感兴趣的小伙伴们快来了解一下吧。
详细内容
- 01
步骤:
1.小数部分*2;
2.得到的结果*2,取整数部分。
3.得到的结果*2,取整数部分。
4.一直乘以2,直到小数点后为0。
5.从上往下依次排序。
- 02
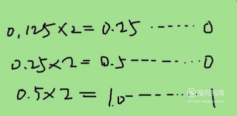
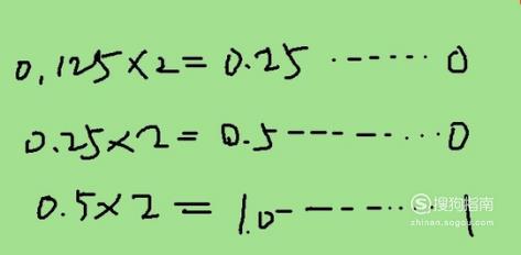
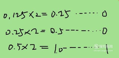
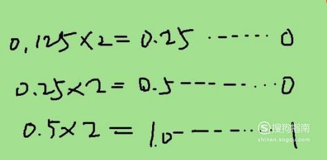
以0.125为例,先乘以2,得到0.25。整数部分为0.
- 03
0.25再乘以2,得到0.5.整数部分为0.
- 04
0.5再乘以2,得到1。整数部分为1。
- 05
从上往下排序,得到0.001。
- 06
步骤:
1.第一位小数*1/2;二的负一次方。
2.第二位小数*1/4,二的负二次方,取整数部分。
3.第三位小数*1/8,二的负三次方,取整数部分。
4.以此类推,有几位小数,就乘以二的负几次方。
5.最后把所有的数加起来。
- 07
以0.1101为例,1*1/2。
- 08
1*1/4.
- 09
0*1/8.
- 010
1*1/16,最后得到的结果为0.8125。

工具/材料
纸、笔
广告位
点击排行
- 2 排行
- 3 排行
- 4 排行
- 5 排行
- 6 排行
- 7 排行
- 8 排行
- 9 排行
- 10 排行
热点追踪
广告位

