最佳回答
本文由作者推荐
详细内容
- 01
十六进制(英文名称:Hexadecimal),是计算机中数据的一种表示方法。同我们日常生活中的表示法不一样。它由0-9,A-F组成,字母不区分大小写。

- 02
16进制即逢16进1,其中用A,B,C,D,E,F(字母不区分大小写)这六个字母来分别表示10,11,12,13,14,15。故而有16进制每一位上可以是从小到大为0、1、2、3、4、5、6、7、8、9、A、B、C、D、E、F16个大小不同的数。

- 03
16进制的20表示成10进制就是:2×16¹+0×16º=32,10进制的32表示成16进制就是:20十进制数可以转换成十六进制数的方法是:十进制数的整数部分"除以16取余",十进制数的小数部分"乘16取整",进行转换。

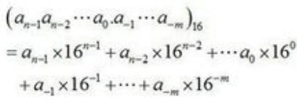
- 04
十六进制照样采用位置计数法,位权是16为底的幂。对于n位整数,m位小数的十六进制数用加权系数的形式表示如下图。

广告位
点击排行
- 2 排行
- 3 排行
- 4 排行
- 5 排行
- 6 排行
- 7 排行
- 8 排行
- 9 排行
- 10 排行
热点追踪
广告位

